Electric Field due to Electric Dipole - Physics Class 12

Electric Field due to Electric Dipole

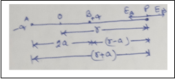
(i).At an axial Point-

Let an Electric Dipole ‘AB’ having charge -q and +q separated at a distance 2a is placed in vacuum. If P is the point on the axial line at a distance ‘r’ from the centre of dipole, then

Board: 
Class: 
Subject: