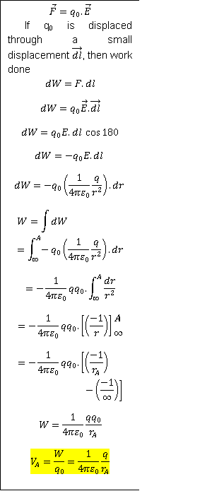
Electric Potential due to a Point Charge—
Let us consider a point charge +q placed at point O.
Suppose that at any instant q0 is at P at the distance‘r’ from ‘O’. If E be the electric field intensity at P. then,